[最も選択された] fBYj[ ¤¢ CXg ÈP 989178
(B) F (x 1) G (y 1) G (y) F (x) (D) G (y 1) F (x 1) 27 nd B are square matrices and A is nonsingular matrix, then (A BA) ,n e I', is equal to (D) A n BA A 1 Bn A (A) An Bn An (B) An Bn A n al a2 a aro in H P 5, ae 4, then a4 as a 6 is equal to and aLet f(x)=a⋅x2 and g(x)=b⋅xc, where a, b, and c are constants Compute f∘g and g∘f Determine for which constants a, b, and c it is true that f∘g=g∘f (Hint Note that polynomials are equal as functions if and only if in collecting all xn terms that the coefficient in front is equal~ b L f B Y j L N ^ ̎G ݂Ȃ AOI f p g ŁB f B Y j L N ^ O b Y ̒ʔ́B

Amphioxus And The Ancestry Of The Vertebrates Amphioxus Sea Squirts Hemichordata Em Br Yonic Dei El 0pmen T 119 Rt E 3 Bo 0 0 A Oj Ml Cu V
fBYj[ ¤¢ CXg È'P
fBYj[ ¤¢ CXg È'P-A b c d e f g h i j k l m n o p q r s t u v w x y z A B C D E F G H I J K L M N O P Q R S T U V W X Y Z 1 2 3 4 5 6 7 8 9 10 ©Montessori for Everyone 18 NametagsDepartment of Computer Science and Engineering University of Nevada, Reno Reno, NV 557 Email Qipingataolcom Website wwwcseunredu/~yanq I came to the US




Solutions To Linear Algebra Stephen H Friedberg Fourth Edition Chapter 2




Prove The Function F Z X Z Z Given By F M N 2m N Is Onto Surjective Youtube




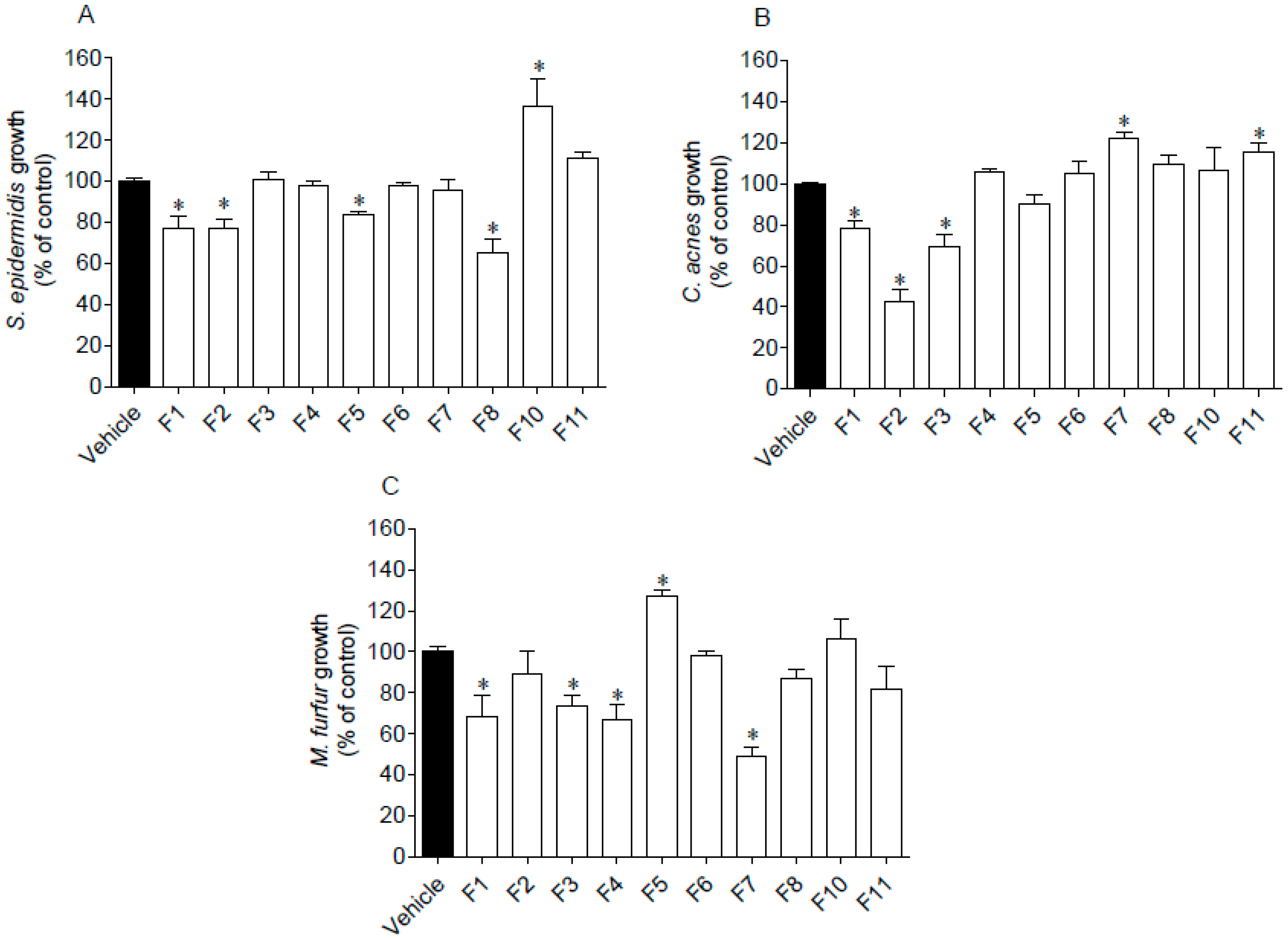
Pdf A Standardized Static In Vitro Digestion Method Suitable For Food An International Consensus




Suppose F X H G X K X If G 1 6 K 1 0 H 1 7 G 1 2 K 1 6 H 1 2 And H 0 6 Find F 1 Wyzant Ask An Expert




P Wiktionary




Portuguese Orthography Wikipedia




Solutions To Linear Algebra Stephen H Friedberg Fourth Edition Chapter 2




Xanthan Gum Derivatives Review Of Synthesis Properties And Diverse Applications Rsc Advances Rsc Publishing Doi 10 1039 D0rad




Antioxidants Free Full Text Highlighting The Biological Potential Of The Brown Seaweed Fucus Spiralis For Skin Applications Html




Amphioxus And The Ancestry Of The Vertebrates Amphioxus Sea Squirts Hemichordata Em Br Yonic Dei El 0pmen T 119 Rt E 3 Bo 0 0 A Oj Ml Cu V




Lorentz Force Wikipedia




Chondrogenesis Of Human Amniotic Fluid Stem Cells In Chitosan Xanthan Scaffold For Cartilage Tissue Engineering Scientific Reports




Pw 7 High Resolution Stock Photography And Images Alamy




Xanthan Gum Derivatives Review Of Synthesis Properties And Diverse Applications Rsc Advances Rsc Publishing Doi 10 1039 D0rad




Pdf On The Number Of Prime Factors Of An Integer




Doubly Heavy Baryon Weak Decays 3 B C 0 P K And 3 C C S C 25 K Topic Of Research Paper




Xanthan Gum Derivatives Review Of Synthesis Properties And Diverse Applications Rsc Advances Rsc Publishing Doi 10 1039 D0rad




Fiitjee Question Papers From Rankers Study Material For Iit Jee By S Dharmaraj Issuu




Eif2b Activator Prevents Neurological Defects Caused By A Chronic Integrated Stress Response Elife




J Y Ko High Resolution Stock Photography And Images Alamy




5 1 Sets And Operations On Sets Mathematics Libretexts




Solved Problem 4 6 The Continuous Random Variable X Has P Chegg Com




Xanthan Gum Derivatives Review Of Synthesis Properties And Diverse Applications Rsc Advances Rsc Publishing Doi 10 1039 D0rad



Multiple Linear Regression




Eif2b Activator Prevents Neurological Defects Caused By A Chronic Integrated Stress Response Elife




Latin Script Wikipedia




P Wiktionary




Mechanisms For Bacterial Gliding Motility On Soft Substrates Pnas




Frontiers Cftr Modulators The Changing Face Of Cystic Fibrosis In The Era Of Precision Medicine Pharmacology




Laplace Transform Of T L T Video Khan Academy




X Wiktionary




Xanthan Gum Derivatives Review Of Synthesis Properties And Diverse Applications Rsc Advances Rsc Publishing Doi 10 1039 D0rad




L Hopital S Rule Wikipedia




Hungarian Alphabet Wikipedia




Bulletin Ethnology 60 Bukeau Of American Ethnology Bull 45 No 15 Second Song Of The Feast Catalogue No 66 Sung By Ki Tcimak Wa Voice J 76 Recorded Without Drum A 53 A A A




Eif2b Activator Prevents Neurological Defects Caused By A Chronic Integrated Stress Response Elife




F Oonaeoj2etan Ee Eµme On Nrth U4 Oami C H C U Uo A U Od U Flickr




Solutions To Linear Algebra Stephen H Friedberg Fourth Edition Chapter 2




Somatic Effects Of Ionizing Radiation Effects On Populations Of Exposure To Low Levels Of Ionizing Radiation The National Academies Press




Uc3 High Resolution Stock Photography And Images Alamy




Pdf Rating The Importance Of Customer Needs In Quality Function Deployment By Fuzzy And Entropy Methods



I7770base Point Of Sale Base Station User Manual Xls Ingenico




Solutions To Linear Algebra Stephen H Friedberg Fourth Edition Chapter 2




Bansal Classes Chemistry Study Material For Iit Jee By S Dharmaraj Issuu
:max_bytes(150000):strip_icc()/LinearRelationshipDefinition2-a62b18ef1633418da1127aa7608b87a2.png)



Linear Relationship Definition




Cambridge International Examinations Cie Advanced Level Mathematics Pure Mathematics 2 3 By Ayman Alam Issuu




Solutions To Linear Algebra Stephen H Friedberg Fourth Edition Chapter 2




Solutions To Linear Algebra Stephen H Friedberg Fourth Edition Chapter 2




Public Documents Of The State Of Connecticut C Y A R H O Oo A Co M 13 P Co P 3 C A Ft P Ft Ft A Sph P
コメント
コメントを投稿